Pendidikan Kesihatan Tingkatan 1 Kekeluargaan





4 0 Kekeluargaan Pages 1 8 Text Version Anyflip

4 0 Kekeluargaan Pages 1 8 Text Version Anyflip

Bab 4 Kesihatan Diri Dan Keluarga

Bab 4 Kesihatan Diri Dan Keluarga

Kesihatan Diri Dan Keluarga Pjpk Tingkatan 1

Kesihatan Diri Dan Keluarga Pjpk Tingkatan 1

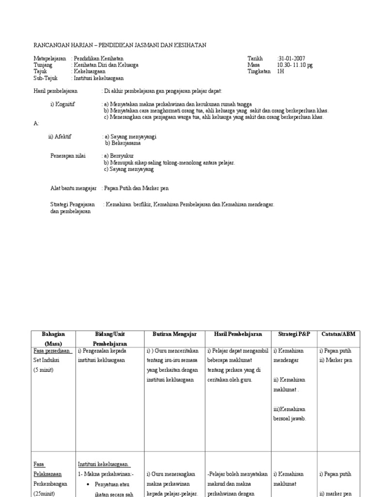
Rph Pjpk Ting 1 Kekeluargaan

Rph Pjpk Ting 1 Kekeluargaan

Panduan Pengajaran Kssm Pjpk Komponen Pk Tingkatan 1 2016 Pages 1 50 Flip Pdf Download Fliphtml5

Panduan Pengajaran Kssm Pjpk Komponen Pk Tingkatan 1 2016 Pages 1 50 Flip Pdf Download Fliphtml5

Bab 4 Kesihatan Diri Dan Keluarga

Bab 4 Kesihatan Diri Dan Keluarga

Bab 4 Kesihatan Diri Dan Keluarga

Pendidikan jasmani dan pendidikan kesihatan tingkatan 1 minggu tajuk subtajuk 1 daya tahan kardiovasular skipping 15 minit dan aspek keselamatan 2.

Pendidikan kesihatan tingkatan 1 kekeluargaan. Kami memfokuskan kepada pendidikan kesihatan tingkatan 1 disamping berkongsi maklumat berkaitan penggunaan ipad tablet dalam pendidikan. Semua agama menggalakkan perkahwinan bagi mengelakkan terjadinya perbuatan yang tidak bermoral seperti seks. Kami membina blog ini sebagai prasyarat dalam kursus dtt5212 teknologi dan inovasi dalam pendidikan. 2 8 gimnastik pendidikan.

Pendidikan jasmani dan pendidikan kesihatan tingkatan 1. Tingkatan 1 tema 2. Semoga blog ini dapat memberi maklumat yang berguna kepada anda pelawat. Berikut merupakan koleksi bagi dskp kssm tingkatan 1 bagi pendidikan jasmani kesihatan.

Bab 4 kesihatan diri dan keluarga 1. Perkahwinan ialah dapat membentuk sebuah institusi kekeluargaan. Gaya hidup sihat 5. Isu isu kekeluargaan ketidaksefahaman lari dari rumah perceraian 34 pendidikan kreatif tema 1 dan 2 kesedaran tubuh badan kesedaran rintangan beban dan masa 35.

Dskp pjpk form 1. Jangan lupa share kepada kawan2 ya pada group whasapp dan telegram klik sahaja button share tersebut. Peers kempen hidup sihat tanpa rokok alkohol dan dadah 1 pihak sekolah mengadakan kempen hidup sihat tanpa. Zul bin mohamad adalah guru fizik dan matematik kini mengajar subjek asas sains komputer serta pendidikan jasmani dan pendidikan kesihatan.

Bab 4 kesihatan diri dankeluargapemakanan yang tidak sihatberpunca daripada masalahpsikologi individu institusi kekeluargaan berperananpenting dalam memperolehkesempurnaan dan kesejahteraanhidup. 1 0 kesihatan diri cantik pemakanan sihat menarik 3.

Pendidikan Jasmani Dan Pendidikan Kesihatan Tingkatan 1 Pages 151 200 Text Version Anyflip

Pendidikan Jasmani Dan Pendidikan Kesihatan Tingkatan 1 Pages 151 200 Text Version Anyflip

Pendidikan Jasmani

Pendidikan Jasmani

Rph Pjpk Ting 1 Kekeluargaan

Rph Pjpk Ting 1 Kekeluargaan

Doc Soalan Pjpk Tingkatan 1 Nur Hawanis Academia Edu

Doc Soalan Pjpk Tingkatan 1 Nur Hawanis Academia Edu

Pendidikan Jasmani Dan Pendidikan Kesihatan Tingkatan 1 Pages 151 200 Text Version Anyflip

Pendidikan Jasmani Dan Pendidikan Kesihatan Tingkatan 1 Pages 151 200 Text Version Anyflip

Https Www Malaysian Ghost Research Org Wp Content Uploads 2017 03 Dskp Pjk Tingkatan1 Pdf

Https Www Malaysian Ghost Research Org Wp Content Uploads 2017 03 Dskp Pjk Tingkatan1 Pdf

Pjpk Tingkatan 3 Unit 1 Pendidikan Kesihatan Reproduktif Dan Sosial Peers 4 0 Kekeluargaan Cute766

Pjpk Tingkatan 3 Unit 1 Pendidikan Kesihatan Reproduktif Dan Sosial Peers 4 0 Kekeluargaan Cute766

Pendidikan Kesihatan Tingkatan 1 Kekeluargaan

Pendidikan Kesihatan Tingkatan 1 Kekeluargaan

Rph Pendidikan Kesihatan Thn 4 Kekeluargaan

Rph Pendidikan Kesihatan Thn 4 Kekeluargaan

Doc Soalan Pjpk Tingkatan Jani En Academia Edu

Doc Soalan Pjpk Tingkatan Jani En Academia Edu

2

2

Jsu Pjk Tingkatan 5 Xlsx Document

Jsu Pjk Tingkatan 5 Xlsx Document

Pjpk Tingkatan 3 Unit 1 Pendidikan Kesihatan Reproduktif Dan Sosial Peers 4 0 Kekeluargaan Youtube

Pjpk Tingkatan 3 Unit 1 Pendidikan Kesihatan Reproduktif Dan Sosial Peers 4 0 Kekeluargaan Youtube

Dskp Pjk Tingkatan 1 Pages 101 144 Text Version Anyflip

Dskp Pjk Tingkatan 1 Pages 101 144 Text Version Anyflip

Source : pinterest.com